“Prime Minister’s Residence (Islamabad, Pakistan)” by Shubert Ciencia , Flickr is licensed under CC BY 2.0
The long-awaited extraordinary elections are now on our doorsteps. In a democratic country like ours, elections with their utmost importance are the best way to make our voice heard. Our vote is not just a constitutional right, but our responsibility towards the nation.
““Always vote for principle, though you may vote alone, and you may cherish the sweetest reflection that your vote is never lost.”~ John Adams
”
The General elections in Pakistan are scheduled to be held on 25th of July 2018. Since the establishment of Pakistan in 1947, as a democratic state, Pakistan has had a federal government consisting of two houses, named National Assembly (Urdu: ایوان زیریں پاکستان) and Provincial Assembly (Urdu:صوبائی اسمبلی).
In this report, our focus will be mainly on the National Assembly.
How does the Electoral System work?
The National Assembly consists of a total of 342 members. These are elected by two methods into 3 categories:
- 272 are elected in single-member constituencies by popularity voting method, also known as first-past-the-post voting
- 60 seats are reserved for females
- 10 seats for religious and ethnic minorities
To win a simple majority, a party would have to take at least 137 seats.
Final Delimitation 2018
General Elections 2018 will be held under new delimitation of constituencies which was the result of 2017 census. As per the notification issued on March 5, 2018, there are in total 272 constituencies. (A complete list of constituencies can be found here.)

Parties and their Candidates
There will be a total of 122 parties competing in Pakistan for the General Elections and a total of 3,675 candidates in the electoral arena for the National Assembly’s seats this year. According to The Election Commission of Pakistan (ECP), 1,696 candidates are contesting from Punjab; 872 from Sindh; 760 from Khyber Pakhtunkhwa; and 303 will be contesting from Balochistan for the lower house of the Parliament. (A complete list of candidates can be found here.)
The History of Elections in Pakistan (1997 – 2013)

The Elections of 2013 are considered to be the most successful elections in the history of Pakistan with a total 47 million votes cast and the highest overall turnout (55%) ever recorded. Pakistan has always been one of the states that has a poor voter turnout, which was 41% on an average, till 2008. Surprisingly enough, elections of 2013 experienced a phenomenal overall increase of more than 11% in the voter turnout, raising the average turnout from 41.3% to 44.8% and labeling these elections as the most successful so far.

With Punjab being the most populated province of Pakistan having the highest number of votes cast, its contribution towards the General Elections is vital. It won’t be wrong to say that the elections in Punjab basically decide the fate of the General Election across the country. While the rest of the country has faced a drop in turnout in ‘97, Sindh, however has seen a constant improvement throughout. In case of KPK we can observe an alternating pattern.
“Did you notice the similarity between the overall turnout trend (black) and Punjab’s turnout trend?”

Even though we term 2013 as the most successful in terms of turnout, we also noticed that the elections of 2013 faced major discrepancies. The rejected votes rose to a high. 1.5 out of 47.2 million votes were rejected in 2013 alone. Around 6% votes from Balochistan, 3.7% from Sindh, 3.2% from KPK and 3% from Punjab were discarded.
The increase in the number of discarded votes is alarming. These discrepancies usually occur due to vote rigging and need to be paid attention upon since they affect the results adversely. In 2002, there were a total of 30 constituencies in Pakistan where the discarded votes were exceeding the votes that determined the victory (Margin of votes). These discrepancies increased in 2008 to 45 and reduced to 25 NA constituencies in 2013 out of which 16 belonged to Punjab, 4 to Sindh, 2 to Balochistan and only 1 to KPK.
Among the 16 seats in Punjab and 4 in Sindh, the majority were won by PMLN and PPP respectively.
Political Parties and their trends
Among the major political parties are Pakistan Muslim League (Nawaz) – PMLN, winning a total of 415 seats in National Assembly so far from 1997, followed by Pakistan Peoples Party Parliamentarians- PPP, with 290 seats so far. If we plot the number of seats won by each party every year, we would see a graph similar to a child’s drawing depicting how unpredictable Pakistani politics and the fate of each party has been throughout.

Except however, we can notice an alternating behavior between the fate of PMLN and PPP. Everytime PMLN is successful in grabbing the majority votes, PPP fails and vice versa except for 2008 where both the parties formed a coalition government together. On the other hand, PTI (claiming to be the only non-family party) seems to have a exponential improvement from winning just one seat in 2002 to grabbing 28 in 2013 (skipping the elections of 2008). According to the 2013 election results, PTI was the third largest party in National Assembly, and emerged as the governing party of Khyber Pakhtunkhwa. PML-Q however reached its downfall in 2013 while MQM and Independents have maintained their positions. With respect to this behaviour and also the current political happenings around the country with Nawaz Sharif being arrested for corruption, it can be said that the prevailing conditions can be very much in favour of PPP and PTI. 2018 might also be the year for PPP to make a comeback given their campaign goes strong.
However, considering these number of seats won by the top 2 parties from 2002 to 2013, we can observe the increase in the Margin of Victory among them. The competition loosens and margin increases as we move forward. In 2002, the difference between the seats won by the top 2 parties was 15, which increased to 20 in 2008. However, 2013 was a one sided clean sweep by PMLN winning from 125 NA constituencies and PPP grabbing only 34 seats in the National Assembly.
Interestingly, plotting the same variables for the province of Punjab gives us a very similar graph which clearly establishes the fact that Punjab determines the fate of General Elections in Pakistan.

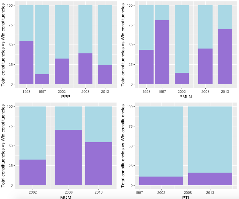
Quality or Quantity?
“What determines the victory of a party? Contesting for a high number of constituencies or focusing on the quality of the candidates contesting for each seat?
”
Considering the total number of seats for which a party contested each year versus the constituencies they won, we can determine what drives a party towards victory.
Blue – total constituencies Purple – constituencies won
In 2008, out of 8 constituencies, PTI managed to win only 1 which was Imran Khan himself. While in 2013 even after exponentially increasing the number of constituencies to fight for, only 28 out of 172 candidates i.e 16.5% managed to win. On the other hand, parties like MQM managed to bag around 18 out of 33 seats in 2013, having a remarkable victory rate of 54%. Thus, rather than increasing the number of candidates, working on their credibility and a strong campaign might lead to better results.
Sindh
“Increasing the number of candidates does not in any way promise a better winning rate.
”

Since 2002, we can see that Pakistan People’s Party has been the most dominant among all other parties in Sindh. Winning the majority constituencies in the province, PPP has emerged as the governing party of Sindh in the past 3 elections. The voter turnout also seems to have improved from 2002 to 2013 in all of the constituencies of Sindh. For example, in NA 228 and NA-238 the turnout rose by 20% from 2008 to 2013 while the overall turnout increased by 10% in Sindh. The size of the bubbles here determines the closeness of the competition or margin of victory. In 2013, even though PPP managed to bag the majority of seats, the competition faced by them was very close.
The constituencies from NA-239 to NA-257 that belong to Karachi, however, favour MQM the most. The voter turnout in this urban city is the highest and MQM seems to have a stronger hold over the seats in 2013 as compared to the previous elections, having a large margin of victory and a low competition.
Punjab

Punjab being the most important player in the elections of Pakistan with the highest number of constituencies (147 according to Delimitation 2002 – 2013) than any province, has seen a gradual shift of power from PPP & PML-Q to PMLN. Where PPP and PMLQ influenced Punjab in 2002 winning the seats with a low margin, they seem to have little or no influence by 2013. PMLN seems to have a stronger grip on the politics in Punjab in 2013, winning majority seats with a high margin.
The voter turnout around NA 115 – NA 125 (Narowal District) seems to have doubled from 2002 to 2013. After further digging up the data, it appeared that most of PMLN’s prominent leaders namely Khuwaja Saad Rafique, Makhdoom M. Javed Hashmi, Sardar Ayaz Sadiq, Muhammad Riaz Malik, and Ahsan Iqbal have been contesting from these constituencies for the past two elections and winning them. These members have had a stronghold in these areas and their popularity attracts voters. However, one of the major reasons for this increase in turnout in 2013 can be the fact that two important players Hamza Shahbaz Sharif and Mian Muhammad Nawaz Sharif contested and won from NA-119 and NA-120 respectively in the elections of 2013. Similarly, NA 150 has seen a tough competition between two major parties, PMLN and PTI since 2002. After holding the office for two consecutive tenures, Rana Mehmood ul Hassan from PMLN lost to Makhdoom Shah Mehmood Qureshi in 2013.
Balochistan


Balochistan being the least populated and the most neglected province of Pakistan consists of only 13 constituencies (now 14) . The political trends in this province aren’t very impressive or predictable. The voter turnout seems to have increased by 6% overall but NA-269 to NA- 272 (Khuzdar, Lasbela and Gwadar) have seen a downfall.
Khyber Pakhtunkhwa


Khyber Pakhtunkhwa, consisting of around 35 constituencies (39 now) has also experienced a shift in power from Muttahidda Majlis e Amal having complete dominance in 2002 to PPP and ANP sharing equal shares in 2008 and to PTI taking over control in 2013. The voters in KPK seem more experimental while choosing a government for their province and won’t hesitate to move on to another party if one fails to achieve its goals.
Islamabad & FATA region


The Islamabad Capital Territory consists of 13 constituencies altogether (15 according to Delimitation 2018). Since 2002 the natives in these areas have favoured Independent candidates. The turnout has increased over the years but so has the competition. The margin of victory got narrower over the years.
Conclusion
As we all know, democracy is defined as a government of the people, for the people, and by the people. This analysis helps us in determining the political trends over the years in Pakistan. The shift in power in KPK from MMA to PTI and in Punjab from PPP to PMLN is one such example of how party loyalty changed over a period of time. The impact of Punjab on the election results on the whole reflect that for any party a stronghold in Punjab is extremely vital to ensure its supremacy. This makes Punjab the most important province in terms of politics. We can also examine that since 1992, only 4-5 parties have been predominant all across the country taking turns to form the government, specifically in the case of PPP and PMLN. In this scenario, PTI as a new addition has emerged as a new player in the political dynamics of Pakistan. Interestingly, we have also observed a gradual improvement in the voter turnout in the past two decades reflecting a rise in people’s faith in the electoral system.
Data source :https://github.com/colincookman/pakistan_elections



